乳幼児用粉ミルク中メラミンの濃度評価
概要
2007年ペットフード大量リコール騒動、2008年メラミン混入粉ミルク事件をきっかけに、乳製品、家畜飼料等食品からメラミンが検出され、国を挙げて対策が検討されています。
MSTでは食品中のメラミンを高い精度で抽出・回収し、LC/MS/MS分析法により定量する手法を確立しています。 下にLC/MS/MS分析結果を示します。食品の安全性に対する皆様の不安払拭にお役立てください。
データ
図1 分析プロセス

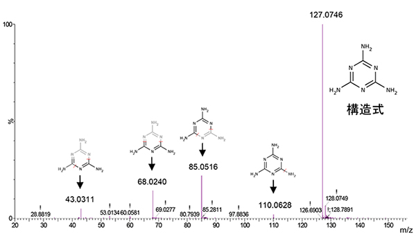
図2 メラミンの精密質量スペクトル

図3 検量線

図4 MRMクロマトグラム
